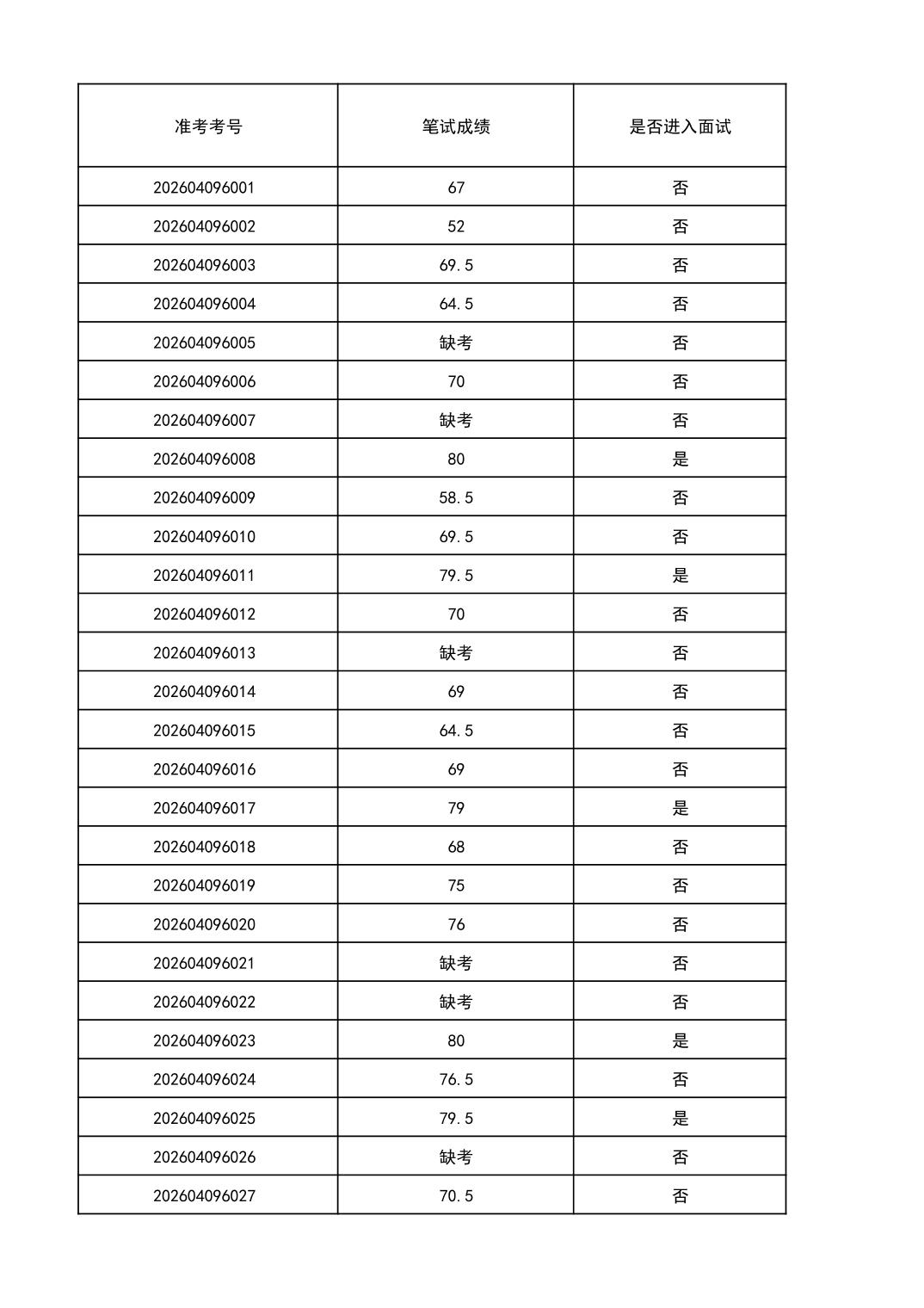
垫江县裴兴镇2026年公开选拔本土人才笔试成绩公示
垫江县裴兴镇2026年公开选拔本土人才笔试成绩公示摘要
垫江县裴兴镇2026年公开选拔本土人才笔试成绩公示已发布,重庆公务员考试网小编现将其发布如下:
更多公务员、事业编资讯获取

垫江县裴兴镇2026年公开选拔本土人才笔试成绩公示正文
垫江县裴兴镇2026年公开选拔本土人才笔试成绩公示


其他公务员、事业编资讯阅读
扫码关注获取更多招考信息

扫码关注我们
更多精彩等待你发现
点击分享此信息:
相关文章


